EMI Calculator: Planning to buy your home, a new car, or taking a personal loan for your desire? Financial planning starts with one simple step and one simple question: “How much will I have to pay every month?” Understanding your monthly outgoings is the backbone of smart financial management. This is where an EMI Calculator becomes your best friend. In this guide, we will break down everything you need to know about EMIs and how you can use the EquityLogy EMI calculator to plan your future without any stress.
EMI CALCULATOR
What is EMI?
EMI stands for Equated Monthly Installment. It is a fixed amount of money that a borrower pays to a lender on a specific date each month until the loan is fully paid off.
An EMI is not just the repayment of the money you borrowed. It consists of two main components:
- Principal Amount: The actual portion of the loan amount you borrowed.
- Interest Component: The cost of borrowing that money, charged by the bank.
In the initial years of your loan, a larger portion of your EMI goes toward paying the interest. As the loan matures, the interest portion decreases, and the principal repayment increases.
What are the various factors that affect your due amount?
Your EMI doesn't just appear out of thin air. It is determined by four primary pillars. If even one of these changes, you’re monthly due amount will fluctuate:
- Principal Amount: This is the total loan amount you take. If principle is higher, then the higher EMI.
- Rate of Interest: This is the percentage charged by the lender. Even a 0.5% difference in interest rates can save or cost you lakhs of rupees over a long-term loan like a Home Loan.
- Loan Tenure: This is the time you take to repay the loan. A longer tenure reduces your monthly EMI but increases the total interest you pay over time.
- Processing Fees & Charges: Many people overlook this. While not always part of the EMI, processing fees affect your overall "due amount" at the start of the loan.
How can an online EMI calculator help you?
Gone are the days when you had to sit with pen, paper and a complicated scientific calculator. An online EMI calculator offers
- Instant accuracy: Manual calculations are prone to errors. An online tool gives you 100% accurate results in milliseconds.
- Financial foresight: You can examine different scenarios. What happens if interest rates increase by 1%? What if I reduce my tenure by 2 years? You get instant answers.
- Better budgeting: By knowing how much money will go into your bank account on the 5th of every month, you can plan your other expenses like SIPs, insurance and household costs.
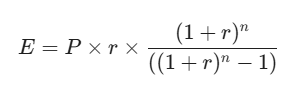
Formula to Calculate the Loan EMI amount?
For those who love the math behind the curtain, EMIs are calculated using the Reducing Balance Method.
The mathematical formula is: E = P \times r \times \frac{(1+r)^n}{((1+r)^n - 1)}

Where:
- E = EMI (Equated Monthly Installment)
- P = Principal Loan Amount
- r = Monthly Interest Rate (Annual rate divided by 12 and then by 100)
- n = Loan Tenure in months
Example: If you take a loan of ₹10 Lakh (P) at 10% annual interest (r = 10/12/100) for 5 years (n = 60 months), the formula will calculate your exact monthly outgo.
What are the types of EMI Calculators?
Not all loans are created equal. Depending on your needs, you can use specific calculators:
- Home Loan EMI Calculator: Designed for long tenures (up to 30 years) and large amounts. It often includes options for pre-payments.
- Car Loan EMI Calculator: Usually for shorter tenures (3-7 years) with fixed interest rates.
- Personal Loan EMI Calculator: Used for unsecured loans where interest rates are generally higher.
- Education Loan EMI Calculator: Helps students calculate repayment after the "moratorium period" (the study period where you don't pay).
- Two-Wheeler EMI Calculator: Tailored for smaller loan amounts with monthly cycles.
How to use EquityLogy online EMI calculator?
At EquityLogy, we believe in making finance simple. Using our tool:
- Input Principal: Move the slider or type in the amount you wish to borrow.
- Select Interest Rate: Enter the annual interest rate offered by your bank.
- Choose Tenure: Select how many years or months you want to take the loan for.
- View Results: The calculator will instantly show your Monthly EMI, Total Interest Payable, and the Total Amount (Principal + Interest).
Advantages of using EquityLogy calculator
Why choose EquityLogy over others?
- User-Friendly Interface: Clean design, no confusing jargon.
- Visual Breakup: We provide a pie chart showing exactly how much of your payment is interest vs. principal.
- Amortization Schedule: We show you a month-on-month breakdown of how your loan balance will reduce over time.
- Mobile Optimized: Since you are often checking rates on the go, our calculator is lightning-fast on mobile devices.
What are the benefits of using an online EMI Calculator?
- Comparison Shopping: You can compare offers from different banks (e.g., HDFC vs SBI) by simply changing the interest rate in the tool.
- No Personal Data Required: You don't need to log in or share your phone number to get a quote.
- Debt Management: It helps you decide if you can actually afford a loan before you sign the agreement, preventing future financial "debt traps."
FAQs about Loan EMI Calculator
How do I use an EMI Calculator?
Simply enter your loan amount, the interest rate, and the time period (tenure). The tool uses the standard EMI formula to show you your monthly installment instantly.
Does EMI remain constant?
In a Fixed Rate Loan, yes, the EMI remains constant. However, in a Floating Rate Loan (common in Home Loans), your EMI might increase or decrease if the RBI changes repo rates or the bank changes its lending rates.
What is an amortization schedule?
An amortization schedule is a complete table of periodic loan payments. It shows the amount of principal and interest that makes up each payment until the loan is paid off at the end of its term.
What is the benefit of a shorter tenure?
A shorter tenure means you pay a higher EMI every month, but you pay significantly less total interest to the bank. It helps you become debt-free much faster.
Conclusion
Financial freedom starts with clarity. By using the EquityLogy EMI Calculator, you take the guesswork out of borrowing. Whether it's for a new home or a personal milestone, plan your numbers first, and the rest will fall into place.
Plan Smart. Invest Right. Stay Informed with EquityLogy.
To know about FD Calculator